服務熱線:400-060-3233手機號碼:18516712219
地 址:上海市普陀區金沙江路1006弄1號5樓E/F室
在我國的能源戰略中,煤層氣作為一種非常規天然氣資源,其商業化開發意義重大。然而,煤層氣開采長期面臨“采出率低、效益差"的困境。要實現高效的煤層氣提高采收率,必須攻克儲層低滲透、強非均質性和改造效果評估滯后三大核心痛點。在這一背景下,低場核磁共振技術 以其獨特的無損、精準、動態監測能力,正成為解鎖煤層氣藏潛能、優化增產措施的革命性工具,尤其是在指導二氧化碳競爭吸附解析 等前沿增采技術方面,展現出無可-比擬的優勢。
一、應用背景:煤層氣開采為何呼喚新技術?
傳統的煤層氣開采依賴于降壓解吸,但煤儲層獨特的“雙孔隙結構"(基質孔隙和裂隙系統)帶來了巨大挑戰:
氣體解吸困難:超過90%的煤層氣以吸附態存在于煤基質的微納米孔隙中。這些孔隙連通性差,導致氣體難以解吸并流向井筒。
儲層“看不清":煤儲層非均質性極-強,裂隙網絡分布如同錯綜復雜的“地下迷宮"。常規測井和巖心分析難以精準描繪出流體的有效運移通道。
措施“盲目性":注水壓裂等儲層改造措施的效果評估嚴重滯后,無法實時獲知壓裂裂縫的延伸情況和氣體解吸動態,導致開發方案調整猶如“盲人摸象"。
因此,行業亟需一種能夠“直視"煤孔隙內部、動態追蹤氣體運移、并科學評估增產效果的技術。低場核磁共振技術 的引入,恰好填-補了這一空白。
二、技術原理:低場核磁共振如何“看清"煤層氣?
低場核磁共振技術的核心在于利用氫原子核(1H)在磁場中的弛豫特性來探測物質內部信息。在煤層氣研究中,氫原子存在于水、甲烷(CH?)等流體中。
其基本原理是:
當煤巖樣品或儲層處于一個穩定的主磁場中,其中的氫原子核會被極化。施加一個特定的射頻脈沖后,氫核會發生共振,吸收能量。當脈沖停止,氫核會逐漸釋放能量并恢復到初始狀態,這個過程稱為“弛豫"。弛豫過程包含兩個時間常數:橫向弛豫時間(T?)和縱向弛豫時間(T?)。
對于煤層氣研究而言,T?弛豫譜是關鍵的診斷工具:
小孔隙對應短T?:束縛在煤基質微小孔隙中的水或吸附氣,受孔壁作用強,弛豫很快,T?時間短。
大孔隙/裂隙對應長T?:存在于大孔隙或裂隙中的自由水或游離氣,受束縛小,弛豫慢,T?時間長。
通過解析T?弛豫譜的分布,研究人員可以:
精準識別吸附氣與游離氣的含量與分布。
定量表征煤巖的孔隙結構,區分微孔、中孔、大孔和裂隙,并計算滲透率。
無損、動態地監測氣體解吸、驅替的整個過程。
三、核心應用:在二氧化碳競爭吸附解析中的精準導航
二氧化碳競爭吸附解析 是當前最-具潛力的煤層氣提高采收率 技術之一。其原理是向煤層注入CO?,利用CO?與CH?在煤基質上的吸附能力差異(CO?的吸附能力通常是CH?的2-4倍),將CH?“置換"出來,同時還能實現CO?的地質封存,一舉兩得。
然而,這一過程在微觀尺度如何發生?注入的CO?如何與CH?競爭?置換效率如何?這些問題傳統技術無法解答。低場核磁共振技術 在此扮演了“實時CT"的角色:
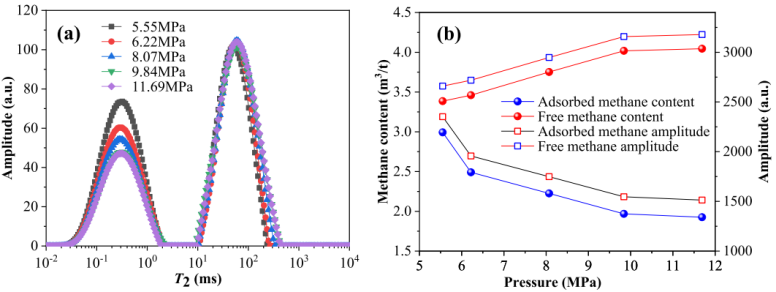
可視化競爭過程:通過持續監測注入CO?前后煤巖樣品的T?譜變化,可以清晰看到代表吸附CH?的信號峰(主要在短T?區域)如何衰減,而代表CO?吸附或游離態流體的信號如何增強,直觀展示“競爭吸附"的動態過程。
量化置換效率:通過譜圖積分計算,可以精確量化在不同壓力、溫度條件下,單位CO?注入量所能置換出的CH?量,為優化注入參數提供直接數據支撐。
揭示機理與路徑:核磁共振成像(MRI)功能可以二維/三維可視化CO?-CH?的驅替前沿,揭示氣體是均勻推進還是優勢通道竄流,從而指導如何優化注入策略以避免CO?過早突破,提高波及效率和采收率。
CO2置換過程中甲烷T2譜和含量圖的變化
面對煤層氣提高采收率 的嚴峻挑戰,低場核磁共振技術 憑借其在對孔隙結構的精準刻畫、對流體動態的無損監測,特別是在優化二氧化碳競爭吸附解析 工藝中的卓-越表現,正成為推動煤層氣產業降本增效的核心科技驅動力。

